永利3044集团官网
ENGLISH
SEARCH
关于AMSS
机构简介
院长致辞
现任领导
历任领导
委员会
历史沿革
永利3044集团官网
科研队伍
院士队伍
杰出青年基金获得者
研究员
副研究员
助理研究员
科研招聘
科研成果
教育培养
党建文化
人与事
学术期刊
图书馆
首页
关于AMSS
机构简介
院长致辞
现任领导
历任领导
委员会
历史沿革
永利3044集团官网
科研部门
管理部门
支撑系统
科研队伍
院士队伍
杰出青年基金获得者
研究员
副研究员
助理研究员
科研招聘
科研成果
科研进展与学术交流报告会
2024
2023
2022
教育培养
党建文化
人与事
学术期刊
图书馆
综合新闻
传媒扫描
Close Form
科研进展
您当前的位置:
首页
科研进展
NURBS曲面求交中重叠区域的容差检测(杨婕吟,贾晓红)
图拓扑自适应判断对抗节点标签噪声(闫桂英与合作者)
全球甲烷排放足迹及其驱动因素(田开兰及合作者)
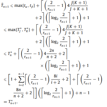
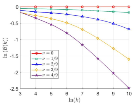
数据序列的经验无损压缩界限(李雷与合作者)
犬科和人科顺式调控模块的盐渍化(李雷与合作者)
第一个陈类为 nef 的叶状结构(欧文浩与合作者)
分数去噪预训练增强分子性质预测(马志明与合作者)
具有饱和输出观测和一般输入条件的大型模型的估计和预测(郭雷与合作者)
重放攻击下具有二值观测值的FIR系统辨识(赵延龙与合作者)
具有异质有界置信度和随机交互的多维意见动态(陈鸽与合作者)
不可压缩MHD系统的不可压缩、div B=0保持、电流密度、螺旋度、能量守恒有限元方法(毛士鹏与合作者)
基于Onsager变分原理的多孔介质方程移动网格法(许现民与合作者)
求解理想磁流体动力学方程的熵稳定基本无振荡间断伽略金方法(刘勇与合作者)
确定性和随机三维Navier-Stokes和Euler方程的非唯一遍历性(朱湘禅与合作者)
基于误差的主动干扰抑制控制的级联滤波器PID范式:等效性、设计和实现指南(薛文超与合作者)
有限值网络的聚合互模拟与辨识(张晓与合作者)
带有偏见的加权中值意见动态收敛性分析(刘志新、陈鸽与合作者)
热弹性散射问题的自适应Dirichlet到Neumann有限元方法(李培军、殷涛与合作者)
高对比度介质中达西流的高度并行化多尺度预处理器(黄记祖与合作者)
衰减平均数据速率通信下基于信号比较的分布式估计(张纪峰、赵延龙与合作者)
1
2
3
4
5
查看更多