永利3044集团官网
ENGLISH
SEARCH
关于AMSS
机构简介
院长致辞
现任领导
历任领导
委员会
历史沿革
永利3044集团官网
科研队伍
院士队伍
杰出青年基金获得者
研究员
副研究员
助理研究员
科研招聘
科研成果
教育培养
党建文化
人与事
学术期刊
图书馆
首页
关于AMSS
机构简介
院长致辞
现任领导
历任领导
委员会
历史沿革
永利3044集团官网
科研部门
管理部门
支撑系统
科研队伍
院士队伍
杰出青年基金获得者
研究员
副研究员
助理研究员
科研招聘
科研成果
科研进展与学术交流报告会
2024
2023
2022
教育培养
党建文化
人与事
学术期刊
图书馆
综合新闻
传媒扫描
Close Form
科研进展
您当前的位置:
首页
科研进展
求解相场模型的带有正则化能量重构的线性松弛方法(周涛与合作者)
周期介质的多尺度有限元方法误差估计再探索(明平兵和合作者)
基于稳定匹配的单细胞数据多尺度比对方法ClusterMatch(王勇与合作者)
基于线性化置换多项式的RS码合作修复(张志芳与合作者)
求解耗散和波传播问题的高阶时间连续有限元高效并行算法(陈志明,刘勇)
双曲守恒律方程的本质无振荡熵稳定间断有限元方法(刘勇与合作者)
气候变化和原油价格:基于区间文本数据的区间预测模型(孙玉莹、洪永淼、汪寿阳与合作者)
在低碳发展背景下基于时频的区间分解集成方法对汽油价格预测(孙玉莹、汪寿阳与合作者)
针对椭圆算子重簇特征值的两水平块预处理Jacobi–Davidson方法(王威与合作者)
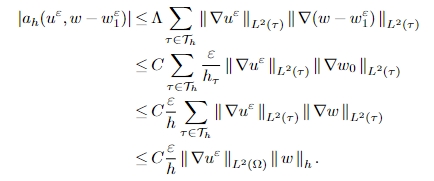
自适应时空区域分解算法及其在多相流中的应用(黄记祖与合作者)
带平方和凸性的鲁棒多项式矩阵不等式优化的矩-平方和松弛分层(王杰与合作者)
关于Qp上四元数代数的某些p进与模p表示(胡永泉与合作者)
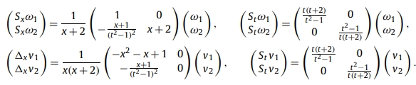
二维两层格林函数的一致远场渐近性及其在两层介质波散射中的应用(张波与合作者)
光滑模糊偏好下的均衡投资组合选择(夏建明与合作者)
关于随机Proudman-Taylor模型的Boussinesq假说(罗德军与合作者)
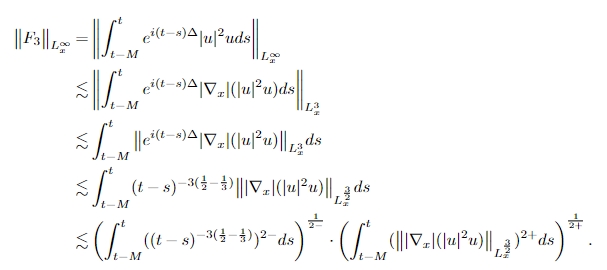
关于非线性薛定谔方程的衰减性质(范晨捷与合作者)
粗路径驱动哈密尔顿系统辛几何算法的随机修正方程(陈楚楚,洪佳林与合作者)
基于抖动机制和矩方法对β模型的边差分隐私估计(常晋源与合作者)
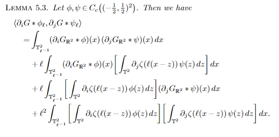
利普希茨区域上的拟线性分数阶算子(李文博与合作者)
通过整基设计多项式递归序列的基于约化巧构邻差法(陈绍示与合作者)
6
7
8
9
10
查看更多