永利3044集团官网
ENGLISH
SEARCH
关于AMSS
机构简介
院长致辞
现任领导
历任领导
委员会
历史沿革
永利3044集团官网
科研队伍
院士队伍
杰出青年基金获得者
研究员
副研究员
助理研究员
科研招聘
科研成果
教育培养
党建文化
人与事
学术期刊
图书馆
首页
关于AMSS
机构简介
院长致辞
现任领导
历任领导
委员会
历史沿革
永利3044集团官网
科研部门
管理部门
支撑系统
科研队伍
院士队伍
杰出青年基金获得者
研究员
副研究员
助理研究员
科研招聘
科研成果
科研进展与学术交流报告会
2024
2023
2022
教育培养
党建文化
人与事
学术期刊
图书馆
综合新闻
传媒扫描
Close Form
科研进展
您当前的位置:
首页
科研进展
利用连续测量下稳态方法制备量子高斯态(齐波与合作者)
科学家在量子多体计算研究中取得突破(王杰等)
随机Allen–Cahn方程自适应时间步格式的强收敛性分析(陈楚楚,洪佳林与合作者)
一种改进的求解双层优化问题的无约束优化方法(刘歆与合作者)
我们证明在合适的条件下,BLO的可行域为嵌入在欧氏空间中的流形,并利用约束消解方法为这一流形优化问题构造相应的无约束优化问题(CDB)。我们证明了双层优化...
谢和虎课题组提出张量神经网络、成功用于高维偏微分方程高精度求解
为了提升机器学习算法求解高维偏微分方程的精度,谢和虎课题组提出了张量神经网络(TNN)结构及其相应的机器学习算法。张量神经网络最重要的特点是可以将损失...
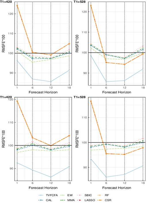
具有平滑结构变化的因子增广回归时变组合预测(洪永淼与合作者)
This study proposes a time-varying forecast combination for factor-augmented (TVFCFA) regressions with smooth structural changes.
非线性半定规划问题的强变分充分性及其应用(丁超与合作者)
Strong variational sufficiency is a newly proposed property, which turns out to be of great use in the convergence analysis of multiplier methods.
随机NAVIER-STOKES方程解的最优非唯一性(董昭,朱湘禅与合作者)
自复叠,有限性与圆周上的纤维化(苏阳与合作者)
布尔控制网络在几类观测下的能观性分解(程代展与合作者)
深度学习显著图辅助确定空间域特异性变量基因(张驰浩,张世华与合作者)
Spatial transcriptomics characterizes gene expression profiles while retaining the information of the spatial context, providing an unprecedented o...
STAGE赋能空间转录组的高密度生成(张世华与合作者)
Spatial transcriptome technologies have enabled the measurement of gene expression while maintaining spatial location information for deciphering t...
FPLS-DC:基于距离协方差的函数型偏最小二乘方法在影像遗传学中的应用 (潘文亮与合作者)
在动力系统的矩-平方和松弛中利用项稀疏性(王杰与合作者)
大规模天线系统中的线性量化预编码:渐近误码率分析与优化(马俊杰,刘亚锋与合作者)
环形网格上演化博弈模仿动力学收敛性分析与策略控制(陈鸽与合作者)
奇异动理学模型及其应用(朱湘禅与合作者)
随机三维Navier-Stokes方程分布不唯一(朱湘禅与合作者)
比例-微分(PD)控制镇定不确定性随机动态系统的最大能力(赵成与合作者)
双调和波方程的随机势反散射(李培军,王旭)
6
7
8
9
10
查看更多